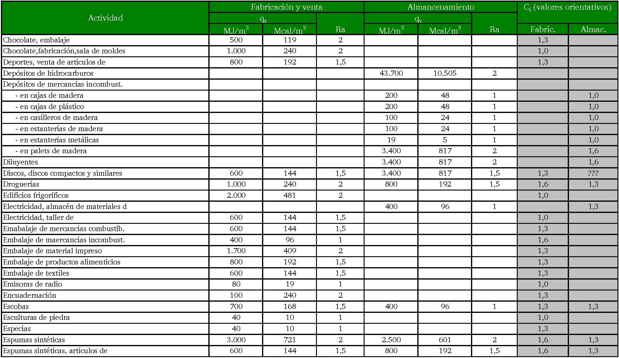
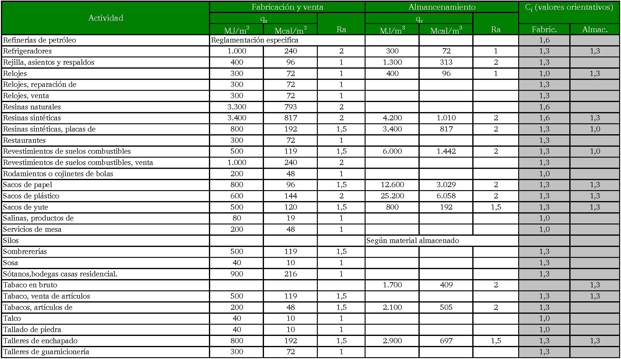
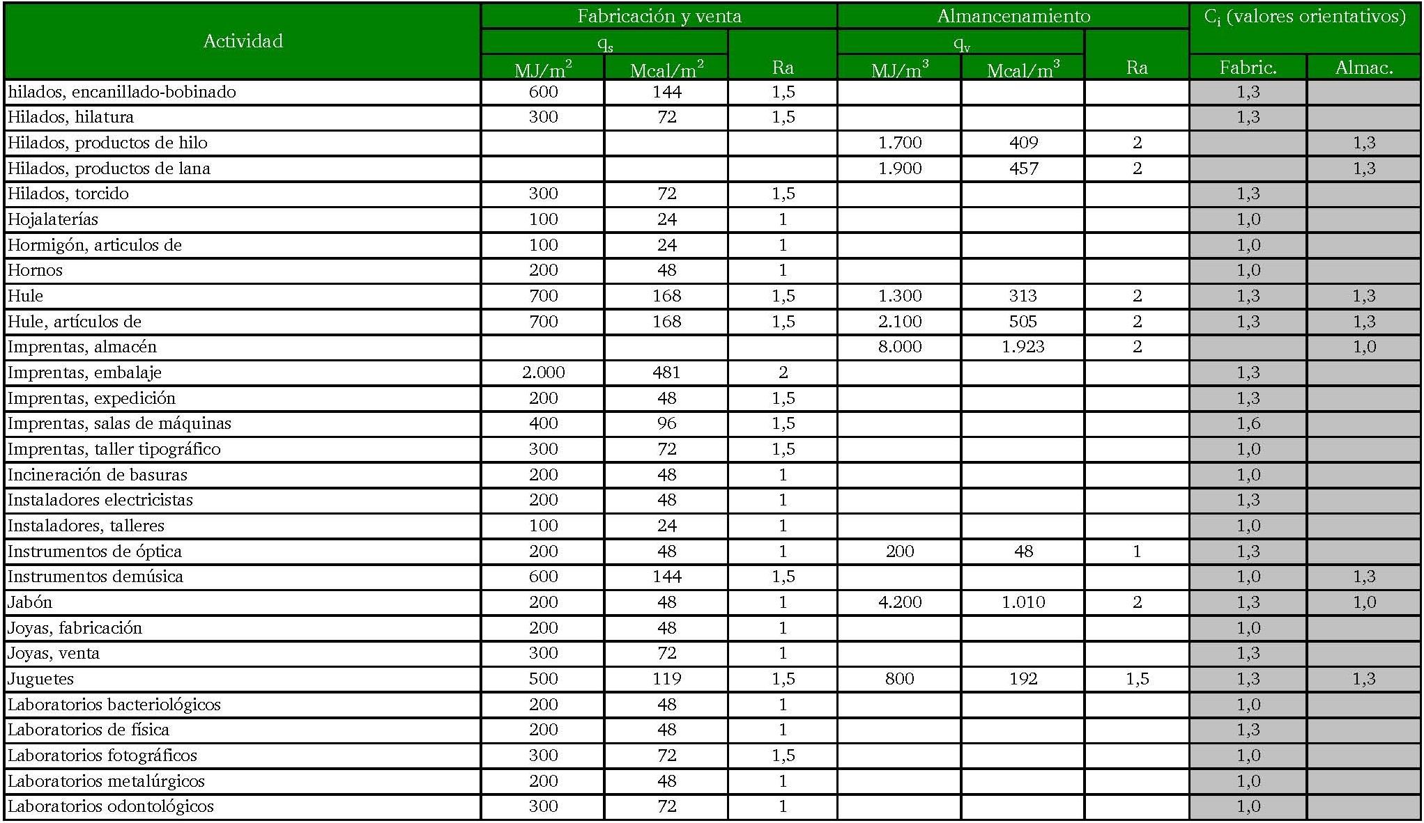
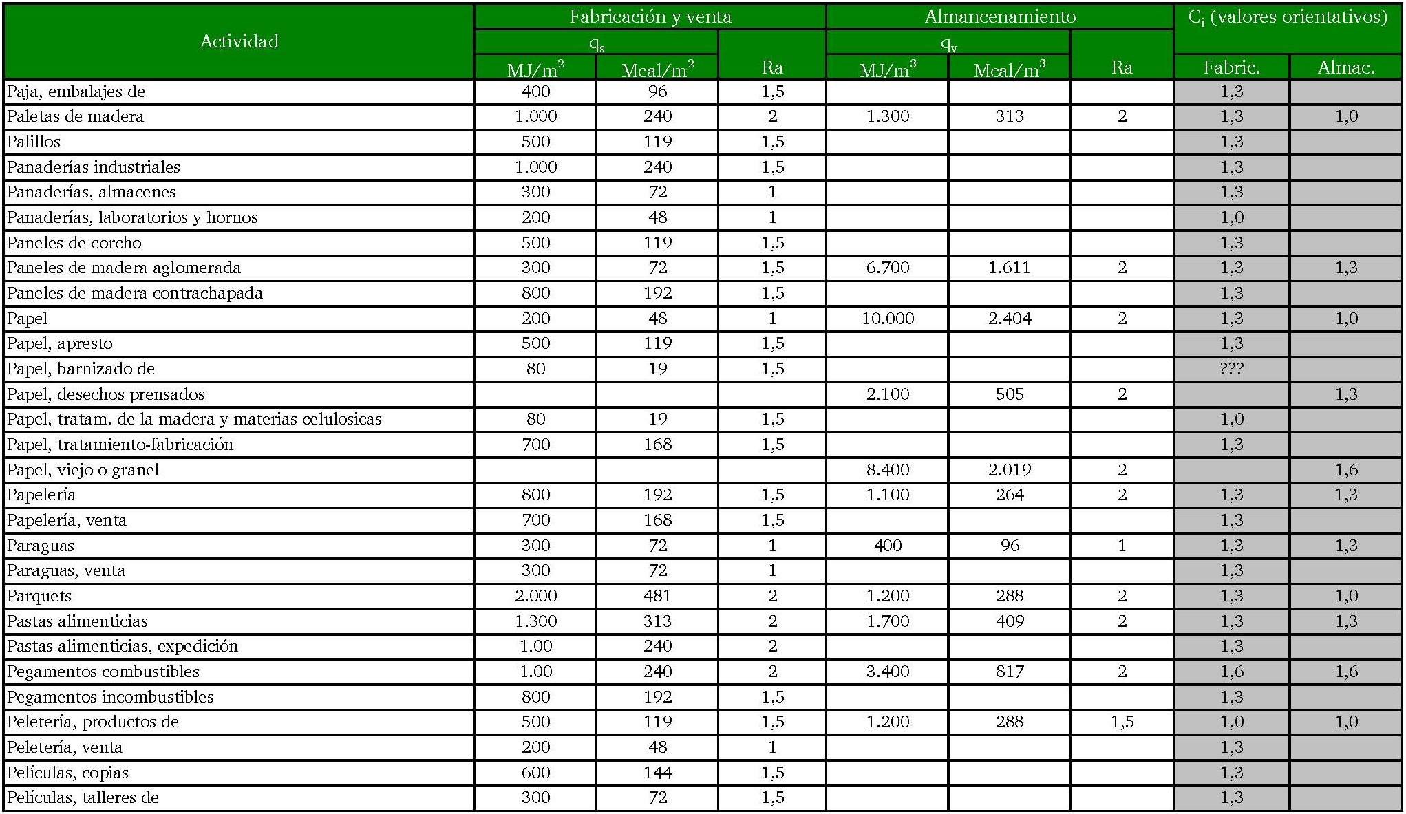
- Valores de Carga de Fuego -

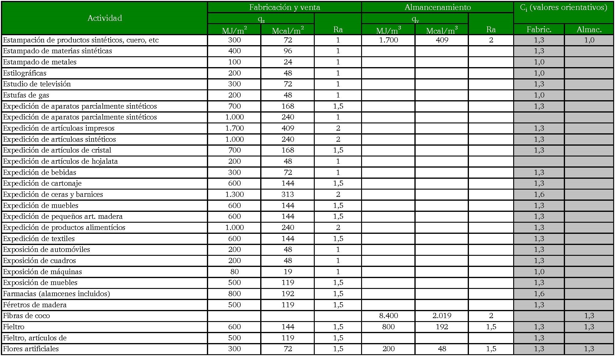
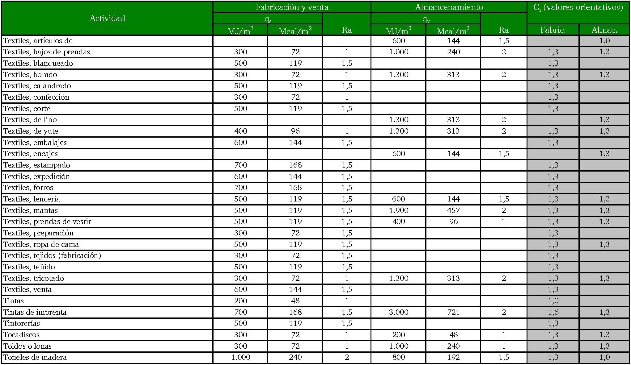
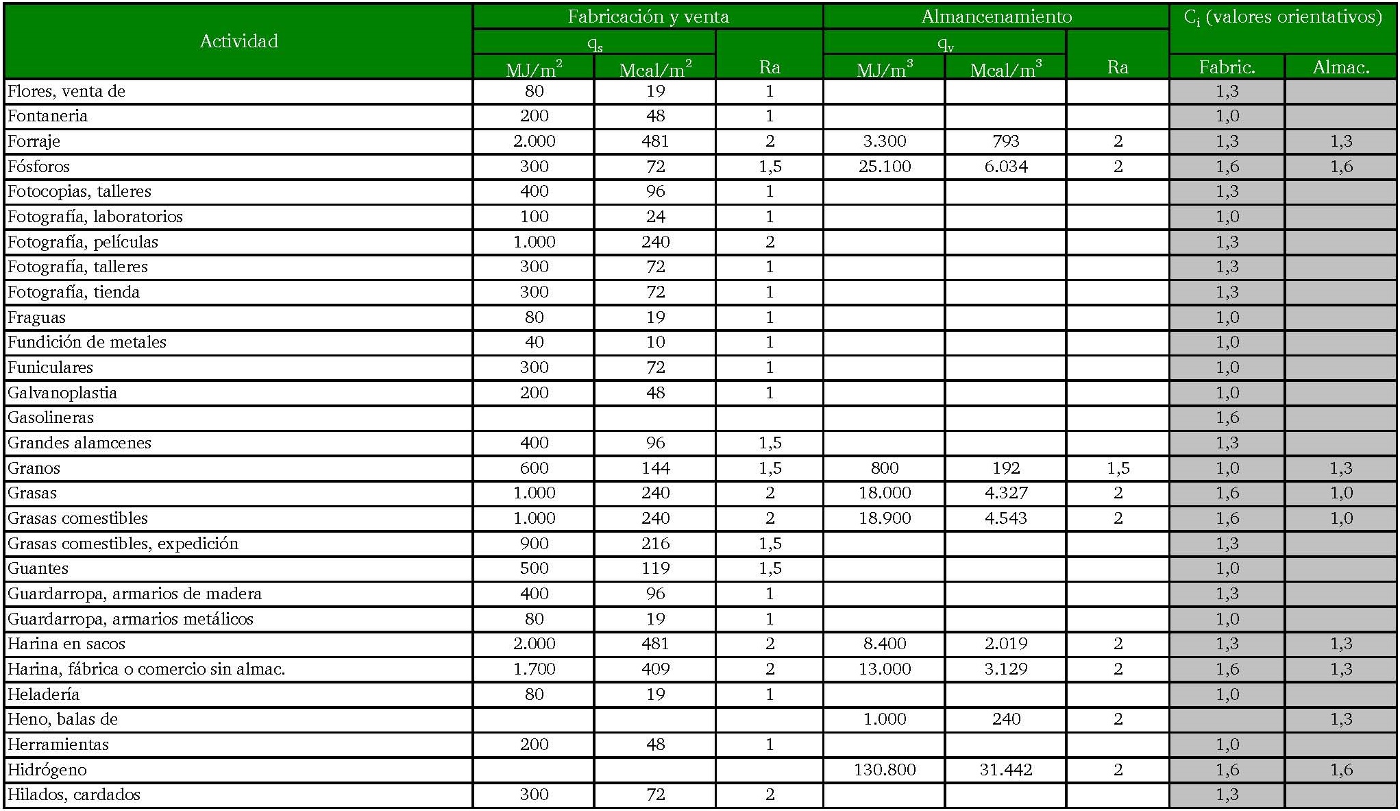
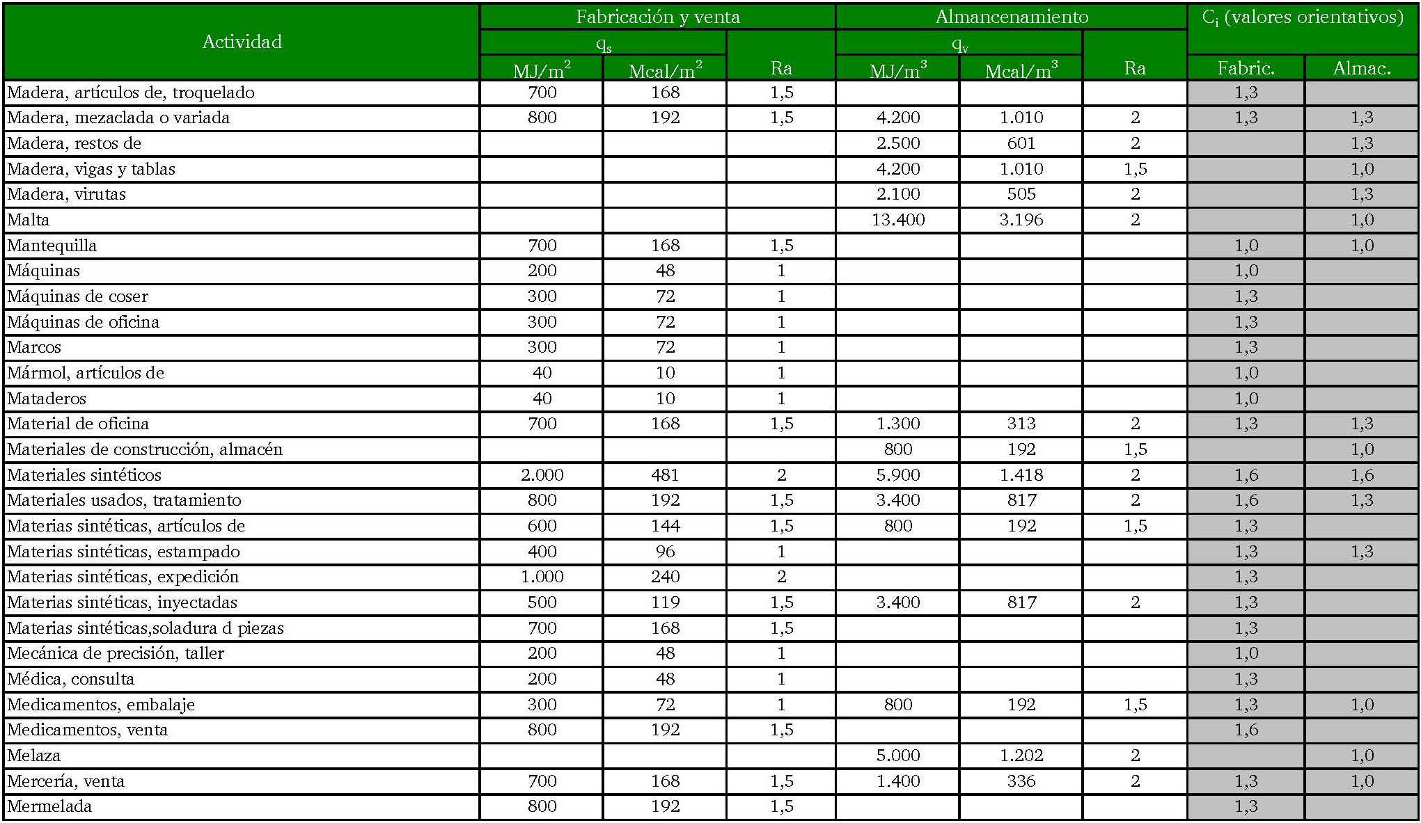
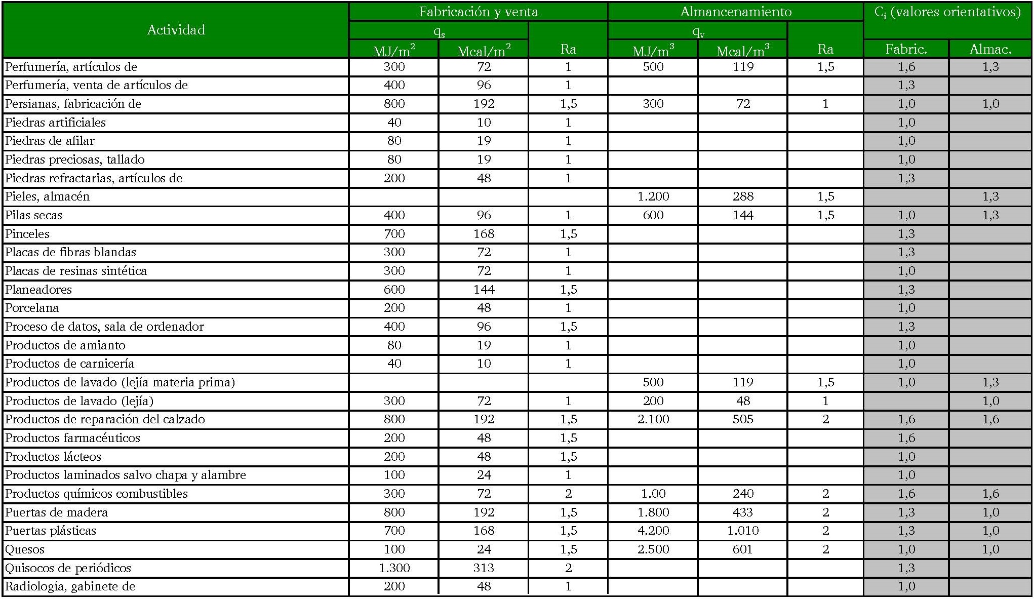
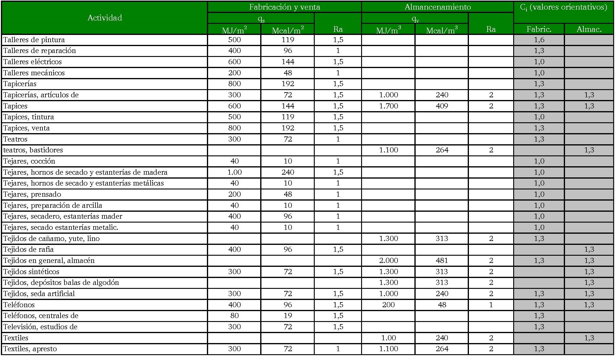
A continuación, se incluye una serie de tablas con los valores de Densidad de Carga de Fuego media de actividades industriales según el Real Decreto 2267/2004 por el que se aprueba el Reglamento de seguridad contra incendios en los establecimientos industriales.

(*) Significado de la leyenda que aparece en las tablas:

• qs = densidad de carga de fuego, ponderada y corregida, del sector o área de incendio considerado, en MJ/m2 o Mcal/m2

• qv = carga de fuego, aportada por cada m3 de cada zona con diferente tipo de almacenamiento existente en el sector de incendio considerado, en MJ/m3 o Mcal/m3

• Ra = coeficiente adimensional que corrige el grado de peligrosidad (por la activación) inherente a la actividad industrial que se desarrolla en el sector de incendio, producción, montaje, transformación, reparación, almacenamiento, etc.

Cuando existen varias actividades en el mismo sector, se tomará como factor de riesgo de activación el inherente a la actividad de mayor riesgo de activación, siempre que dicha actividad ocupe al menos el 10 por ciento de la superficie del sector o área de incendio.

• Ci = coeficiente adimensional que pondera el grado de peligrosidad (por la combustibilidad) de cada uno de los combustibles (i) que existen en el sector de incendio.

Nota: Los valores del Ci indicados en las tablas siguientes se han extraído del Catálogo CEA de CEPREVEN, según los criterios de equivalencia establecidos en la Guía Técnica de aplicación del Reglamento de seguridad contra Incendios en Establecimientos Industriales.

Densidad de carga de fuego media de actividades industriales según el R.D. 2267/2004

 

 

Densidad de carga de fuego media de actividades industriales según el R.D. 2267/2004

 

 

Densidad de carga de fuego media de actividades industriales según el R.D. 2267/2004

 

 

Densidad de carga de fuego media de actividades industriales según el R.D. 2267/2004

 

 

Densidad de carga de fuego media de actividades industriales según el R.D. 2267/2004

 

 

Densidad de carga de fuego media de actividades industriales según el R.D. 2267/2004

 

 

Densidad de carga de fuego media de actividades industriales según el R.D. 2267/2004

 

 

Densidad de carga de fuego media de actividades industriales según el R.D. 2267/2004

 

 

Densidad de carga de fuego media de actividades industriales según el R.D. 2267/2004

 

 

Densidad de carga de fuego media de actividades industriales según el R.D. 2267/2004

 

 

 

 

—  Tablas de Densidad de Carga de Fuego  —

Densidad de carga de fuego media de actividades industriales según el R.D. 2267/2004

 

 

Densidad de carga de fuego media de actividades industriales según el R.D. 2267/2004

 

 

Densidad de carga de fuego media de actividades industriales según el R.D. 2267/2004

 

 

Densidad de carga de fuego media de actividades industriales según el R.D. 2267/2004

 

 

Densidad de carga de fuego media de actividades industriales según el R.D. 2267/2004

 

 

Densidad de carga de fuego media de actividades industriales según el R.D. 2267/2004

 

 

Densidad de carga de fuego media de actividades industriales según el R.D. 2267/2004

 

 

Densidad de carga de fuego media de actividades industriales según el R.D. 2267/2004

 

 

Densidad de carga de fuego media de actividades industriales según el R.D. 2267/2004

 

 

 

 

Tabla 2: Carga térmica de mobiliario

(*) Fuente:

• Ordenanza Contra incendios del Ayuntamiento de Zaragoza-España.

Carga térmica de mobiliario

 

 

 

 

Ir a
Tutoriales

 

 

Información y consulta:

Hermenegildo Rodríguez Galbarro

info@ingemecanica.com - Tel. 646 166 055

 

 

Aviso Legal  •  Política de Privacidad  •  Política de Cookies