- Tutorial nº 51 -

Cálculo de Uniones Soldadas

FUENTE:  Biblioteca Pública Virtual

Departamento de Aeronáutica. Facultad de Ingeniería

Universidad Nacional de La Plata

©  Es obligatorio el respeto de los derechos de autor de este documento.

Contenido del Tutorial:

En este tutorial se indican los distintos procedimientos de cálculo de la resistencia de uniones soldadas, según la tipología de la soldadura.

Asimismo, en este trabajo el autor incluye varios ejemplos de cómo calcular la resistencia de uniones soldadas en distintos casos prácticos.

 

Cálculo de uniones soldadas

Cálculo de uniones soldadas

Cálculo de uniones soldadas

Cálculo de uniones soldadas

Cálculo de uniones soldadas

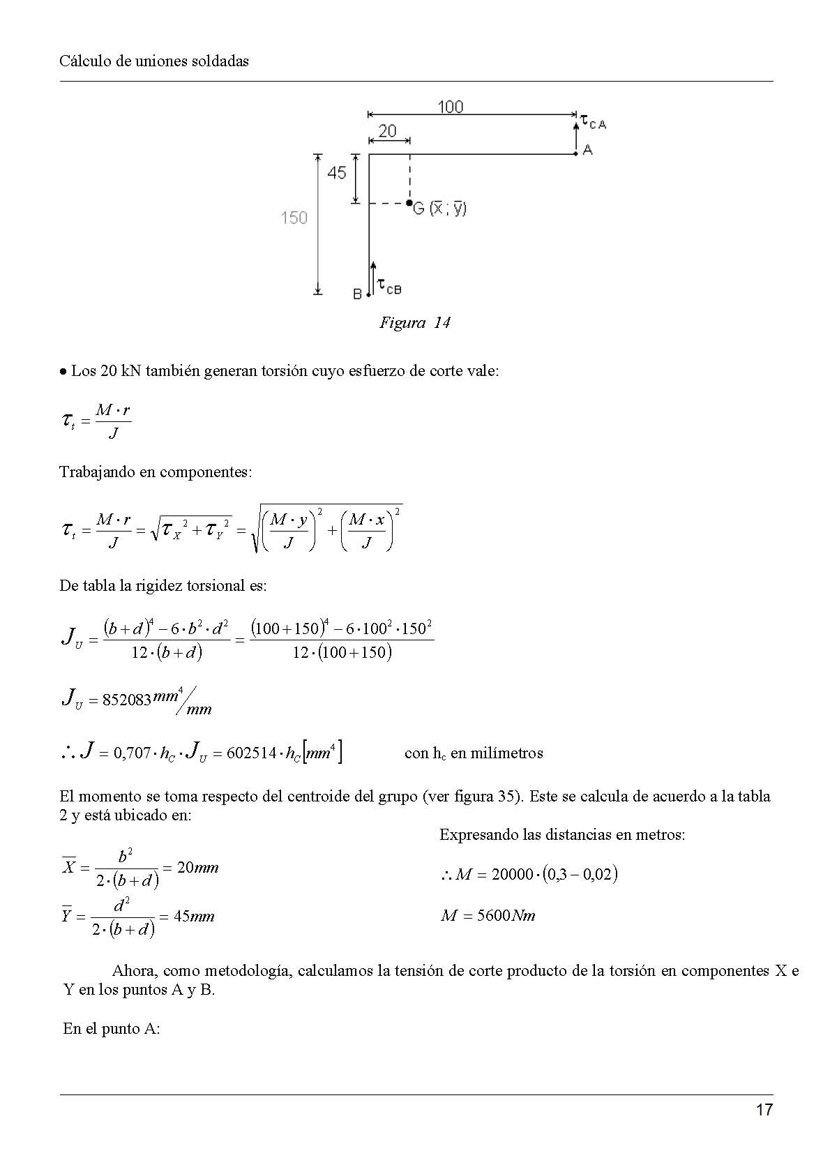
Cálculo de uniones soldadas

Cálculo de uniones soldadas

Cálculo de uniones soldadas

Cálculo de uniones soldadas

Cálculo de uniones soldadas

Cálculo de uniones soldadas

Cálculo de uniones soldadas

Cálculo de uniones soldadas

Cálculo de uniones soldadas

Cálculo de uniones soldadas

Cálculo de uniones soldadas

Cálculo de uniones soldadas

Cálculo de uniones soldadas

Cálculo de uniones soldadas

Cálculo de uniones soldadas

 

 

 

 

 

Información y consulta:

Hermenegildo Rodríguez Galbarro

info@ingemecanica.com - Tel. 646 166 055

Aviso Legal  •  Política de Privacidad  •  Política de Cookies