—  Tutorial nº 32  —

Cálculo de las Uniones Atornilladas

Índice de contenidos:

1- Generalidades

2- Clases de tornillos

3- Coeficientes parciales de seguridad

4- Agujeros para tornillos

5- Disposiciones en el montaje

5.1- Distancias a los bordes

5.2- Separación entre agujeros

6- Categorías de uniones atornilladas

7- Cálculo de la resistencia de un tornillo

7.1- Resistencia a cortante y aplastamiento de un tornillo

7.2- Resistencia a tracción

7.3- Resistencia a cortante + tracción

8- Resistencia a deslizamiento para tornillos pretensados

8.1- Resistencia al deslizamiento por esfuerzo transversal al tornillo

8.2- Resistencia a la combinación de tracción y cortante

9- Análisis comparativo NBE EA-95 vs. EC3

9.1- Tornillos no pretensados

9.2- Tornillos de alta resistencia (pretensados)

10- Torque o par de apriete de tornillos

Anexo:

Anexo 1.- Ejemplo de cálculo de una unión atornillada

 


DESARROLLO DEL CONTENIDO


 

1- Generalidades

Todas las uniones tendrán una resistencia de cálculo tal que la estructura se comporte satisfactoriamente y sea capaz de cumplir todos los requisitos básicos para el cálculo.

Los tornillos a emplear en uniones de estructuras de acero serán preferentemente de alguno de los grados  4.6, 5.6, 6.8, 8.8  ó  10.9.  Como norma general, no se utilizarán tornillos de grado inferior al  4.6  ni de grado superior al  10.9  sin demostración experimental que son adecuados para la unión en la que se prevé su uso.

Para la designación de los tornillos se comienza definiendo el tipo de tornillo (T ó M si es tornillo ordinario, TC ó M si se trata de un tornillo calibrado y TR si el tornillo a designar es de alta resistencia), seguido por el diámetro del vástago en la zona de rosca, la longitud total del vástago, y por último una cifra para indicar la calidad del acero.

 

2- Clases de tornillos

La calidad del acero empleado en la fabricación de los tornillos marca el tipo de tornillo.

En la siguiente tabla se muestran los valores nominales del límite elástico  fyb y de la resistencia última atracción fub  del acero empleado en la fabricación del tornillo, los cuales se deben adoptar como valores característicos en los cálculos:

Valores nominales del límite elástico fyb y de la resistencia a tracción última fub de tornillos
Tipo de tornillo 4.6 4.8 5.6 5.8 6.8 8.8 10.9
fyb (N/mm2) 240 320 300 400 480 640 900
fub (N/mm2) 400 400 500 500 600 800 1000

Los tornillos de clase 8.8 y 10.9 o superior son denominados también "tornillos de alta resistencia", siendo los "tornillos ordinarios" las demás de clase inferior.

 

3- Coeficientes parciales de seguridad

El coeficiente de seguridad  γM  se tomará según los valores siguientes:

γMb : Resistencia de tornillos 1,25

γMr : Resistencia de roblones 1,25

γMp : Resistencia de bulones 1,25

γMs : Resistencia al deslizamiento 1,25 (ELU); 1,1 (ELS)

 

4- Agujeros para tornillos

Preferiblemente, los agujeros para alojar los tornillos se realizarán mediante taladros. Sólo se podrán realizar mediante punzonado cuando el diámetro del agujero sea de mayor dimensión que el espesor de la pieza, que el espesor de la pieza no sea superior a 15 mm y además que la unión no vaya a estar sometida a esfuerzos de fatiga.

Las dimensiones del diámetro de los agujeros será igual, en cada caso, al del vástago del tornillo más:

- 1 mm  para tornillos de 12 y 14 mm de diámetro;

- 1 ó 2 mm  para tornillos de 16 a 24 mm;

- 2 ó 3 mm  para tornillos de diámetro de 27 mm o mayores.

Los agujeros de los tornillos de 12 y 14 mm también podrán tener una holgura de 2 mm siempre y cuando la resistencia del grupo de tornillos a aplastamiento sea inferior a la de cortante.

En uniones atornilladas resistentes por rozamiento pueden emplearse agujeros a sobremedida o agujeros rasgados, cortos o largos, para facilitar el montaje de las piezas. Para agujeros a sobremedida, el diámetro del taladro será igual al del vástago de los tornillos más:

- 3 mm  para tornillos de 12 mm;

- 4 mm  para tornillos de 14 a 22 mm;

- 6 mm  para tornillos de 24 mm;

- 8 mm  para tornillos de 27 mm o mayores.

agujeros rasgados para tornillos

Cuando se quiera permitir el movimiento relativo entre las piezas a unir, se suele emplear agujeros rasgados. La anchura de los agujeros rasgados cortos o largos en dirección normal al esfuerzo será igual al diámetro de los agujeros estándar correspondientes (indicado con d0 en la figura adjunta). En la dirección del esfuerzo, la distancia  e  mostrada también en la figura, para agujeros rasgados cortos será igual a:

(d + 4) mm  para tornillos de 12 ó 14 mm;

(d + 6) mm  para tornillos de 16 a 22 mm;

(d + 8) mm  para tornillos de 24 mm;

(d + 10) mm  para tornillos de 27 mm y mayores.

Para agujeros rasgados largos será en todos los casos:

e=2,5·d mm, siendo  d  el diámetro del vástago del tornillo correspondiente.

Se suelen emplear este tipo de agujeros rasgados largos cuando se quiera permitir el movimiento relativo entre las piezas a unir. No obstante, y para evitar problemas de durabilidad, los agujeros rasgados largos en las caras exteriores de las piezas deben cubrirse con cubrejuntas de dimensiones y espesor apropiados y con agujeros no mayores que los estándares.

Para más información, se remite al lector a consultar el articulado de la Instrucción de Acero Estructural (EAE).

 

5- Disposiciones en el montaje

5.1- Distancias a los bordes

La distancia e1 desde el centro del agujero al extremo frontal según la dirección de la transmisión de la carga será al menos de 1,2*d0

distancia entre agujeros y distancia a los bordes de la placa

e1 ≥ 1,2*d0

siendo d0 el diámetro del agujero.

La distancia e2 del centro del agujero al borde lateral medida normalmente a la dirección de la transmisión de la carga será al menos de 1,5*d0

e2 ≥ 1,5*d0

Si las piezas están expuestas a un ambiente agresivo u otras influencias corrosivas, entonces las máximas distancias e1 y e2 serán al menos de:  40mm + 4*t  (siendo t el espesor de la pieza más delgada a unir).

Para otros casos tomar e1 y e2  ≤ 12*t   ; o bien, 150 mm  (la más restrictiva).

 

5.2- Separación entre agujeros

La distancia  p1  entre centro de tornillos en la dirección de la transmisión de la carga será al menos de  2,2*d0

p1 ≥ 2,2*d0

siendo d0 el diámetro del agujero.

La separación  p2  entre filas de tornillos, medidos perpendicularmente a la dirección de la transmisión de la carga será al menos de 3,0*d0

p2 ≥ 3,0*d0

En el caso de elementos comprimidos, las separaciones  p1 y p2  no deberán superar al menor valor de  14*t  ó  200 mm.

p1 ; p2  ≤  14*t  ó  200 mm

 

separación entre agujeros

 

En el caso de elementos traccionados la separación  p1,i  entre centros de tornillos en filas interiores puede ser doble del valor dado para elementos comprimidos, siempre que la separación  p1,0  en la fila exterior en cada borde no supere el valor dado para los elementos a compresión,

p1,i  ≤  28*t  ó  400 mm,  si se cumple que,  p1,0 ≤ 14*t  ó  200 mm

 

separación entre agujeros en piezas traccionadas

 

6- Categorías de uniones atornilladas

Las uniones atornilladas se clasifican, en función de la manera de trabajar de los tornillos, en cinco categorías. Tres de ellas corresponden a uniones en las que los tornillos están solicitados en dirección normal a su eje (categorías A, B y C); y otras dos (categorías D y E), a uniones en las que los tornillos están solicitados en la propia dirección de su eje, esto es, a tracción.

Categoría A: Son uniones en las que los tornillos, bien sean de tipo ordinarios o de alta resistencia, trabajan a cortante y aplastamiento. Si los tornillos son de alta resistencia, calidades 8.8 ó 10.9, no es preciso que estén pretensados, ni que las superficies en contacto estén preparadas de manera especial. Su cálculo se efectuará de acuerdo con lo dispuesto en los apartados siguientes como se verá.

Por evidentes razones de economía, se emplearán habitualmente uniones de esta categoría cuando los tornillos vayan a estar solicitados en dirección normal a su eje.

Cuando la pieza esté sometida a fatiga, a impactos o a esfuerzos alternativos, se recomienda que se empleen tornillos de alta resistencia, los cuales estarán pretensados hasta alcanzar el tensado del tornillo el valor  N0  indicado en el apartado 8, aunque los tornillos pueden seguir calculándose a cortante y aplastamiento.

Categoría B: Son uniones realizadas con tornillos de alta resistencia pretensados, con superficies en contacto preparadas, que se desea que no deslicen en el estado límite de servicio (ELS). El esfuerzo  Fs,Ed  a transmitir, deberá cumplir que:

Fs,Ed ≤ Fs,Rd

siendo  Fs,Rd  el valor máximo de resistencia dado en el apartado 8.

Categoría C: Son uniones realizadas con tornillos de alta resistencia pretensados, con superficies en contacto preparadas, que se desea que no deslicen en el estado límite último (ELU). El esfuerzo  Fs,Ed  a transmitir, calculado en estado límite último (ELU), deberá cumplir:

Fs,Ed ≤ Fs,Rd

siendo  Fs,Rd  el valor máximo de resistencia dado en el apartado 8.

En esta categoría se comprobará además que en estado límite último (ELU) se cumple que:

- La unión resiste a cortante y aplastamiento de acuerdo con lo dispuesto en el apartado 7. Esta condición podrá considerarse satisfecha si el espesor  tmin de la pieza más delgada a unir es superior al valor  d/2,4 si las piezas son de acero S235 ó S275, o bien superior al valor  d/3,1 si las piezas son de acero S355;

- El esfuerzo a transmitir, Fs,Ed, es inferior a la resistencia plástica del área neta de la pieza:

Fs,Ed  ≤  Anet · fy / γM0

Esta categoría de uniones se empleará cuando, para simplificar el montaje, se utilicen taladros a sobremedida o rasgados en la dirección del esfuerzo a transmitir, o cuando se estime que cualquier deslizamiento de la unión pueda deteriorar sensiblemente la resistencia o la rigidez de la estructura, o cuando los tornillos trabajen conjuntamente con cordones de soldadura en uniones híbridas.

Categoría D: Son uniones realizadas con tornillos ordinarios o de alta resistencia trabajando a tracción. Si se emplean tornillos de alta resistencia, no es preciso que estén pretensados ni que las superficies en contacto estén preparadas. No se recomienda el uso de uniones de esta categoría cuando hayan de estar sometidas a variaciones frecuentes del esfuerzo de tracción a transmitir, aunque se admite su uso si dichos esfuerzos de tracción son debidos únicamente a cargas de viento.

Categoría E: Son uniones realizadas con tornillos de alta resistencia pretensados trabajando a tracción. El pretensado mejora la rigidez de la unión en estado límite de servicio y la resistencia a fatiga, aunque esta última dependerá en gran medida de los detalles constructivos y de las tolerancias del ajuste entre piezas. Sólo es preciso preparar las superficies si la unión está sometida a esfuerzos normales al eje de los tornillos, además de a tracción (Uniones de categorías E+B ó E+C).

En la siguiente tabla se muestran las distintas categorías de uniones atornilladas vistas anteriormente:

Categoría A Cortante y aplastamiento en T, TR (sin pretensado)
Fv,SdFv,Rd
Fv,SdFb,Rd
Categoría B Resistentes al deslizamiento en ELS (sólo TR)
Fv,Sd,serFs,Rd,ser
Fv,SdFv,Rd
Fv,SdFb,Rd
Categoría C Resistentes al deslizamiento en ELU (sólo TR)
Fv,SdFs,Rd
Fv,SdFb,Rd
Categoría D Tracción en tornillos ordinarios
Ft,SdFt,Rd
Categoría E Tracción en tornillos de alta resistencia
Ft,SdFt,Rd

 

7- Cálculo de la resistencia de un tornillo

7.1- Resistencia a cortante y aplastamiento de un tornillo

Cuando un tornillo está solicitado en dirección normal a su eje por un esfuerzo cortante Fv,Ed , este esfuerzo que lo solicita, Fv,Ed  no podrá ser mayor que el menor de los dos valores siguientes:

- La resistencia a cortante del tornillo, Fv,Rd

- La resistencia a aplastamiento de la pieza en la zona contigua al tornillo, Fb,Rd

a) Cálculo de la resistencia a cortante (Fv,Rd):

Si el plano de corte pasa por la parte roscada del tornillo, la resistencia a cortante Fv,Rd viene dada por la expresión siguiente, según la calidad del tornillo:

- Tornillo de Grados 4.6,  5.6  y  8.8:

Fv,Rd =   0,6 * fub * As

γMb

 

- Tornillo de Grados 4.8,  5.8,  6.8  y  10.9:

Fv,Rd =   0,5 * fub * As

γMb

donde,

As   es el área resistente a tracción del tornillo (ver valores del área resistente de los tornillos en las tablas de dimensiones geométricas incluidas en el Tutorial 31);

fub   es la tensión última a tracción del tornillo (ver tabla del apartado 2 de este tutorial);

γMb   es el coeficiente parcial de seguridad (ver apartado 3 de este tutorial).

 

Por otro lado, si el plano de corte pasa por la parte no roscada del tornillo, la resistencia a cortante Fv,Rd  viene dada por la expresión siguiente:

Fv,Rd =   0,6 * fub * A

γMb

En la siguiente tabla se indica la resistencia a simple cortante en  kN  de los tornillos de diámetros y grados más usuales cuando los planos de corte no pasan por la zona roscada del vástago.

Resistencia a cortante de tornillos

Resistencia a simple cortante en  kN  de los tornillos más usuales

 

b) Cálculo de la Resistencia al aplastamiento (Fb,Rd):

La resistencia a aplastamiento de la pieza en la zona contigua al tornillo, Fb,Rd  viene dada por la siguiente expresión:

Fb,Rd =   2,5 * α * fu * d * t

γMb

siendo  α  el menor valor de:

e1 ,   ó bien

3 * d0

p1 - 1 ,   ó bien

3 * d0 4

fub ,  ó bien   1,0

fu

donde:

d : diámetro del tornillo;

t : espesor de la chapa;

e1 : distancia al extremo frontal;

d0 : diámetro del agujero;

p1 : separación entre tornillos;

As : área resistente a tracción;

fu : es la resistencia última del acero de la chapa;

fub   es la resistencia última a tracción del tornillo.

En la siguiente tabla se indica la resistencia a aplastamiento de una pieza de 10 mm de espesor contra tornillos de los diámetros más usuales, tomando para las distancias a bordes y entre tornillos los valores que se indican en la misma.

Resistencia a aplastamiento en chapas de 10 mm de espesor contra tornillos

Resistencia a aplastamiento en  kN  para chapas de 10 mm de espesor

 

7.2- Resistencia a tracción

Cuando un tornillo está solicitado en la dirección de su eje por un esfuerzo de tracción, Ft,Ed , éste no será mayor que el menor de los dos valores siguientes:

- La resistencia a tracción del tornillo, Ft,Rd

- La resistencia a punzonamiento de la pieza bajo la tuerca o bajo la cabeza del tornillo, Bp,Rd

La resistencia a tracción Ft,Rd  de un tornillo viene dada por la expresión:

Ft,Rd =   0,9 · fub · As

γMb

donde,

As   es el área resistente a tracción del tornillo (ver valores del área resistente de los tornillos en las tablas de dimensiones geométricas incluidas en el Tutorial 31);

fub   es la tensión última a tracción del tornillo (ver tabla del apartado 2 de este tutorial);

γMb   es el coeficiente parcial de seguridad (ver apartado 3 de este tutorial).

La resistencia a tracción de elementos, tales como pernos de anclaje, en los que la rosca se fabrique mediante procedimientos que impliquen arranque de viruta, será igual a la dada por la expresión anterior multiplicada por 0,85.

Asimismo, para tornillos de cabeza avellanada, la resistencia a tracción será igual al 70% de la dada por la expresión anterior.

En la siguiente tabla se indica la resistencia a tracción de los tornillos con cabeza normal de diámetros y grados más usuales.

Resistencias de tornillos a esfuerzo de tracción

Resistencia a tracción en  kN 

 

Por otro lado, la resistencia a punzonamiento, Bp,Rd , de una chapa de espesor  t, sobre la que actúa un tornillo sometido a tracción, viene dada por la expresión siguiente:

Bp,Rd =   0,6 · π · dm · t · fu

γMb

donde:

Bp,Rd : es la resistencia al punzonamiento de la chapa;

fu : es la resistencia a tracción del acero de la chapa;

dm : es el menor diámetro medio entre los círculos circunscrito e inscrito a la tuerca o a la cabeza del tornillo;

t : es el espesor de la placa bajo la cabeza del tornillo o bajo la tuerca.

No será preciso comprobar el valor de Bp,Rd  cuando el espesor de la chapa cumpla la condición:

tmín ≥   d · fub

6 · fu

 

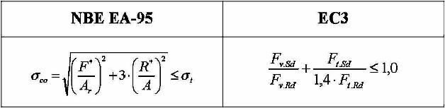
7.3- Resistencia a cortante + tracción

Además de lo indicado en los apartados 7.1 y 7.2, los tornillos solicitados a cortante y axil al mismo tiempo deberán cumplir además lo siguiente:

Fv,Ed + Ft,Ed 1,0


Fv,Rd 1,4 · Ft,Rd

donde,

Fv,Ed   es el esfuerzo cortante que actúa sobre el tornillo;

Fv,Rd   es la resistencia a cortante del tornillo, calculada según lo indicado en el apartado 7.1;

Ft,Ed   es el esfuerzo axil que actúa sobre el tornillo;

Ft,Rd   es la resistencia a tracción del tornillo, calculada según lo indicado en 7.2.

 

8- Resistencia a deslizamiento para tornillos pretensados

8.1- Resistencia al deslizamiento por esfuerzo transversal al tornillo

Los tornillos de alta resistencia (TR), grados 8.8 y 10.9, que deban ser pretensados, deberán apretarse hasta conseguir una tracción en el vástago igual al 70% de su resistencia a tracción.

En consecuencia, el esfuerzo de pretensado (N0) de cálculo del tornillo vendrá dado por:

N0 = 0,7 · fub · As

donde,

As   es el área resistente a tracción del tornillo (ver valores del área resistente de los tornillos en las tablas de dimensiones geométricas incluidas en el Tutorial 31);

fub   es la tensión última a tracción del tornillo (ver tabla del apartado 2 de este tutorial);

De este modo, la resistencia a deslizamiento de cálculo  Fs,Rd  de un tornillo de alta resistencia pretensado se calculará según la siguiente expresión:

Fs,Rd =   ks · n · μ · N0

γMb

siendo N0 el esfuerzo de pretensado.

En la anterior expresión se tiene que:

ks   es un factor que depende del tipo de agujero que se utilice. Toma los siguientes valores:

ks = 1,0 ... para agujeros con holguras nominales estándar;

ks = 0,85 ... para taladros a sobremedidas o alargados cortos en dirección normal al esfuerzo;

ks = 0,7 ... caso de agujeros rasgados largos en dirección normal al esfuerzo.

Si el rasgado de los agujeros está en la dirección del esfuerzo, Ks se tomará igual a 0,76 para taladros rasgados cortos, e igual a 0,63 para taladros rasgados largos.

 

n ... es el número de superficies en contacto entre las chapas de la unión; en general será n=1 ó n=2.

 

μ ... es el coeficiente de rozamiento que depende del estado de las superficies de contacto, y que toma los siguientes valores:

μ = 0,5 ... para superficies tratadas al chorro de arena o granalla hasta el grado SA 2 1/2 de la norma UNE-EN ISO 8501-1, exentas de picaduras, bien sin ningún tratamiento posterior si la unión se realiza inmediatamente después del chorreado de forma que no dé tiempo a la formación de óxido en las superficies de contacto, o bien con proyección térmica posterior con aluminio o con otro tratamiento que garantice a juicio de la dirección facultativa dicho coeficiente.

μ = 0,4 ... para superficies tratadas al chorro de arena o granalla hasta el grado SA 2 1/2 de la norma UNE-EN ISO 8501-1, exentas de picaduras y pintadas con un silicato alcalino de cinc con espesor comprendido entre 50 y 80 µm.

μ = 0,3 ... para superficies limpiadas mediante cepillado con cepillo de alambre o mediante flameado.

μ = 0,2 ... para superficies sin tratar o galvanizadas.

 

Por último, γMb toma los siguientes valores,

γMb = 1,1 ... para uniones tipo B;

γMb = 1,25 ... en uniones tipo C, híbridas y en uniones sometidas a efectos de fatiga.

 

8.2- Resistencia a la combinación de tracción y cortante

Si una unión resistente al deslizamiento se ve sometida además a un esfuerzo axil de tracción que genera un esfuerzo de tracción en el tornillo de valor Ft,Ed , la resistencia a deslizamiento por cada tornillo se tomará como sigue:

Fs,Rd =   ks · n · μ · ( N0 - 0,8 · Ft,Ed )

γMb

 

9- Análisis comparativo NBE EA-95 vs. EC3

9.1- Tornillos no pretensados

a) Agotamiento por cortadura del tornillo:

Agotamiento por cortadura del tornillo

 

b) Agotamiento por aplastamiento de la chapa:

Agotamiento por aplastamiento de la chapa

 

c) Agotamiento por tracción:

Agotamiento por tracción

 

d) Agotamiento por cortante+tracción:

Agotamiento por cortante más tracción

 

9.2- Tornillos de alta resistencia (pretensados)

a) Agotamiento por esfuerzo transversal al tornillo:

Agotamiento por esfuerzo transversal al tornillo

 

b) Agotamiento por esfuerzo transversal+tracción:

Agotamiento por esfuerzo transversal más tracción

 

10- Torque o par de apriete de tornillos

a) Uniones atornilladas no pretensadas:

Para los tornillos de uniones no pretensadas el par de apriete necesario será aquel que logre la condición de contacto ajustado de las superficies alrededor de la zona de contacto de cada tornillo.

La condición de contacto ajustado se considera que es el proporcionado por un operario utilizando una llave o herramienta normal sin prolongador, o equivalente al punto en que una llave neumática empieza a impactar.

Para conseguir una buena condición de contacto es aconsejable proceder a un apretado progresivo de tornillos desde los más interiores hacia fuera.

b) Uniones atornilladas pretensadas:

Para las uniones pretensadas se usarán los tipos de tornillos 8.8 y 10.9 o superiores, de acuerdo a la clasificación indicada en el apartado 2 "Clases de tornillos" de este tutorial.

El pretensado se realizará una vez obtenida la condición de contacto ajustado y se realizará de forma ordenada y progresiva entre todos los tornillos que constituyen la unión.

El esfuerzo de pretensado (N0) que debe obtenerse en la espiga del tornillo se corresponde al 70% de la resistencia a tracción (fub) multiplicada por su área resistente (As) de la sección del tornillo:

N0 = 0,7 · fub · As

Los valores de la resistencia a tracción (fub) de los tornillos se pueden consultar en el apartado 2 "Clases de tornillos" de este tutorial.

Los valores del área resistente a tracción (As) de cada tornillo se pueden consultar en el apartado 5 "Dimensiones geométricas de los tornillos" del Tutorial Nº 31.

La siguiente tabla indica los valores del esfuerzo de pretensado (N0) mínimo necesario para cada tornillo, según su diámetro y clase.

Tabla A.  Esfuerzo de pretensado mínimo, N0 (kN)

 

Diámetro del tornillo (mm)

 

12

16

20

22

24

27

30

36

Tipo de tornillo 8.8

47

88

137

170

198

257

314

458

Tipo de tornillo 10.9

59

110

172

212

247

321

393

572


Este esfuerzo de pretensado debe conseguirse con una llave dinamométrica que indique el par torsor aplicado durante el apriete del tornillo.

Efectivamente, cuando se emplea una llave dinamométrica para aplicar un par que apriete al tornillo, este par induce un esfuerzo de pretensado (N0) en la espiga del tornillo, esfuerzo que va a depender del diámetro del tornillo y de un coeficiente que marque el rozamiento entre los componentes de la parte que gira.

Para el caso concreto de un estado de suministro de tuerca y tornillo ligeramente engrasados, el par de apriete o torque que habrá que aplicar con la llave dinamométrica, será el que resulte de aplicar la siguiente expresión:

Mt = 0,18 · d · N0

donde,

Mt,    el torque o par de apriete necesario aplicar al tornillo (expresado en N·m)

d,    es el diámetro del tornillo (expresado en metros)

N0,    es el esfuerzo de pretensado, indicado en la Tabla A anterior según el diámetro y tipo de tornillo.

Para otras calidades de tornillos o situaciones de rozamiento y lubricación, se adjuntan una serie de enlaces de fabricantes donde se muestran distintas tablas con los pares de apriete y catálogos de productos.

>>   Guía de Pares de Apriete de "IMECA Soluciones y Sercivios"


ANEXOS


A.1- Ejemplo de cálculo de una unión atornillada

Cálculo de una unión atornillada

Se pretende mostrar con este ejemplo el procedimiento a seguir para el cálculo y comprobación de una unión atornillada sometida a esfuerzos de tipo cortante (normal al eje de los tornillos) y de tracción.

Según se muestra en la figura adjunta, se trata de una unión atornillada en la que se han utilizado 2 tornillos, del tipo TR 20x90-8.8.

Según las información incluida en el Tutorial nº 31 sobre la denominación de tornillos, se trata de un tornillo de alta resistencia (TR), de 20 mm de diámetro exterior de la rosca, 90 mm de longitud de vástago en la zona roscada y de una calidad de acero 8.8 (640 N/mm2 de límite elástico y 800 N/mm2 de resistencia última).

A continuación se indica en la siguiente tabla las principales características geométricas del tipo de tornillo empleado:

(En el Tutorial nº 31 se incluyen las tablas completas con las propiedades geométricas de los tornillos normalizados, que por otro lado, son los más empleados comercialmente)

 

Dimensiones geométricas del tipo de tornillo empleado en la unión

Tipo de
tornillo

Diámetro de
la caña

Longitud parte roscada

Diámetro del agujero

Área neta
del núcleo

Área
resistente

TR 20

20 mm

90 mm

21-22 mm

225 mm2

275 mm2


 

Según se puede apreciar en la figura adjunta, para el anclaje de los tornillos se ha empleado unas piezas auxiliares formada por sendos casquillos con forma angular de 10 mm de espesor de chapa (t=10 mm).

Por otro lado, y como se indica en la figura, la unión se encuentra sometida a los siguientes esfuerzos:

-  Esfuerzo cortante (normal al eje de los tornillos)= 4.100 kgf  (40,21 kN)

-  Esfuerzo axil (paralelo al eje de los tornillos)= 3.800 kgf  (37,27 kN)

Como se trata de una unión sometida a la acción simultánea de un esfuerzo cortante + axil (esfuerzo de tracción), se calculará según el procedimiento indicado en el apartado 7.3 de este tutorial.

Según lo indicado allí, los tornillos que conforman la unión deberán cumplir, además de lo indicado en los apartados 7.1 y 7.2, la siguiente condición:

Fv,Ed + Ft,Ed 1,0


Fv,Rd 1,4 · Ft,Rd

donde,

Fv,Ed   es el esfuerzo cortante que actúa sobre la unión atornillada, en este ejemplo, Fv,Ed = 40,21 kN  (40.210 N);

Fv,Rd   es la resistencia a cortante de la unión para el tipo de tornillo empleado, que deberá ser calculada según lo indicado en el apartado 7.1;

Ft,Ed   es el esfuerzo axil que actúa sobre la unión atornillada; en este ejemplo, Ft,Ed = 37,27 kN  (37.270 N);

Ft,Rd   es la resistencia a tracción de la unión para el tipo de tornillo empleado, que deberá ser calculada según lo indicado en 7.2.

A continuación, se procederá a calcular los valores de la resistencia a cortante (Fv,Rd) y de la resistencia a tracción (Ft,Rd) de la unión atornillada de este ejemplo.

a)   Cálculo de la resistencia a cortante (Fv,Rd)  de la unión:

Según lo indicado en el apartado 7.1 de este tutorial, la resistencia a cortante Fv,Rd  viene dada por la expresión siguiente, para tornillos de calidad 8.8:

Fv,Rd =   0,6 * fub * As

γMb

Como la unión del ejemplo consta de 2 tornillos, la resistencia total de la unión se calculará multiplicando la anterior expresión por el número de tornillos empleados, en este caso 2 tornillos.

Por lo tanto la resistencia total a cortante de la unión se calculará como:

Fv,Rd =   0,6 * fub * As * 2

γMb

donde,

As   es el área resistente a tracción del tornillo, que según la tabla con las propiedades geométrica del tornillo vale,  As = 275 mm2

fub   es la tensión última a tracción del tornillo, de valor,  fub = 800 N/mm2

γMb   es el coeficiente parcial de seguridad, que según lo indicado en el apartado 3 para uniones atornilladas vale,  γMb = 1,25.

Con estos valores, la resistencia total a cortante de la unión atornillada para este ejemplo vale:

Fv,Rd = 211.200 N

Por otro lado, el cortante que actúa sobre la unión vale, Fv,Ed = 40.210 N, que resulta inferior al valor de resistencia a cortante que tiene la unión, es decir, se cumple que:

Fv,Rd = 211.200 N > Fv,Ed = 40.210 N

En el apartado 7.1 de este tutorial también se nos dice que es necesario realizar la comprobación en la unión para que tampoco se produzca el aplastamiento de la pieza en la zona contigua al tornillo.

La resistencia a aplastamiento de la pieza en la zona contigua al tornillo, Fb,Rd , viene dada por la siguiente expresión:

Fb,Rd =   2,5 * α * fu * d * t

γMb

donde  d  es el diámetro del tornillo (d=20 mm),  t  el espesor de la pieza donde se ha practicado el agujero para anclar los tornillo (en este caso, t=10 mm), y  fu  la resistencia a tracción del acero de la pieza, que en este caso se trata de un angular de acero S275 con resistencia última a la tracción, fu = 430 N/mm2 , siendo además, como ya se indicó anteriormente,  α  el menor valor de:

e1 ,   ó bien

3 * d0

p1 - 1 ,   ó bien

3 * d0 4

fub ,  ó bien   1,0

fu

Se puede comprobar en este ejemplo, que el menor valor de  α  que se obtiene en este caso, es igual a 1.

Sustituyendo los anteriores valores, se obtiene una resistencia al aplastamiento de la pieza contigua al tornillo de:

Fb,Rd = 172.000 N

Que resulta un valor muy superior al cortante que actúa sobre la unión que vale, Fv,Ed = 40.210 N, es decir, se cumple que:

Fb,Rd = 172.000 N > Fv,Ed = 40.210 N

 

b)   Cálculo de la resistencia a tracción  (Ft,Rd)  de la unión:

Según lo indicado en el apartado 7.2 de este tutorial, la resistencia a tracción Ft,Rd  de un tornillo viene dada por la expresión:

Ft,Rd =   0,9 · fub · As

γMb

Como la unión del ejemplo consta de 2 tornillos, la resistencia total de la unión se calculará multiplicando la anterior expresión por el número de tornillos empleados, en este caso  2.

Por lo tanto la resistencia total a esfuerzo de tracción de la unión se calculará como:

Ft,Rd =   0,9 · fub · As · 2

γMb

donde,

As   es el área resistente a tracción del tornillo, que según la tabla anterior de propiedades geométrica del tornillo,  As = 275 mm2;

fub   es la tensión última a tracción del tornillo de valor,  fub = 800 N/mm2;

γMb   es el coeficiente parcial de seguridad, que según lo indicado en el apartado 3 para uniones atornilladas vale,  γMb = 1,25.

Con estos valores, la resistencia total a tracción de la unión atornillada del ejemplo vale:

Ft,Rd = 316.800 N

Por otro lado, el esfuerzo de tracción que actúa sobre la unión que vale, Ft,Ed = 37.270 N, resulta inferior al valor de resistencia al esfuerzo de tracción que tiene la unión, es decir, se cumple que:

Ft,Rd = 316.800 N > Ft,Ed = 37.270 N

Por otro lado, cuando el tornillo trabaja a tracción, la norma exige realizar una comprobación a punzonamiento de la chapa en contacto con la cabeza del tornillo.

Según lo indicado en el apartado 7.2, la resistencia a punzonamiento, Bp,Rd , de una chapa de espesor  t, viene dada por la expresión siguiente:

Bp,Rd =   0,6 · π · dm · t · fu

γMb

donde:

fu   es la resistencia a tracción del acero de la chapa, que en este caso se trata de una chapa de acero S275, con resistencia atracción  fu = 430 N/mm2;

dm   es el menor diámetro medio entre los círculos circunscritos e inscrito a la cabeza del tornillo. En este caso, se ha tomado la medida entre caras de la cabeza del tornillo, de valor,  dm = 30 mm;

t   es el espesor de la placa bajo la cabeza del tornillo o bajo la tuerca, en este caso la chapa tiene un espesor de 10 mm.

Sustituyendo valores, se obtiene una resistencia a punzonamiento de la chapa, Bp,Rd , de valor:

Bp,Rd = 194.527 N

Valor éste que es muy superior al esfuerzo de tracción, Ft,Ed , que actúa sobre la unión atornillada, que en este ejemplo, tenía un valor  Ft,Ed = 37,27 kN (37.270 N).

Por lo tanto se cumple la condición que:   Bp,Rd > Ft,Ed

 

c)   Comprobación final:

Al comienzo de los cálculos se indicó que cuando en una unión atornillada actúan de manera simultánea esfuerzos cortante y de tracción, se deberá cumplir además la siguiente condición:

Fv,Ed + Ft,Ed 1,0


Fv,Rd 1,4 · Ft,Rd

donde,

Fv,Ed   es el esfuerzo cortante que actúa sobre la unión atornillada, en este ejemplo, Fv,Ed = 40.210 N;

Fv,Rd   es la resistencia a cortante que ofrece la unión, que ha sido calculada en el apartado a), resultando ser, Fv,Rd = 211.200 N;

Ft,Ed   es el esfuerzo axil que actúa sobre la unión atornillada; en este ejemplo, Ft,Ed = 37.270 N;

Ft,Rd   es la resistencia a tracción que tiene la unión, y que ha sido calculada en el apartado b), resultando ser, Ft,Rd = 316.800 N.

Sustituyendo valores se comprueba que se cumple con la condición anterior:

40.210 + 37.270 = 0,27  ≤  1,0


211.200 1,4 · 316.800

Por lo que la unión atornillada propuesta resulta VÁLIDA.

 

 

 

 

>> FIN DEL TUTORIAL

 

 

 

 

Programa de Colaboración

Ahora puedes colaborar en el sostenimiento de esta web realizando un pequeño donativo

Gracias por tu colaboración

Hermenegildo Rodríguez Galbarro

Editor y Responsable de esta Web.  [+info]

 

 

 

 

Volver a Tutoriales  >>

 

 

 

 

Información y consulta:

Hermenegildo Rodríguez Galbarro

info@ingemecanica.com - Tel. 646 166 055

 

 

Aviso Legal  •  Política de Privacidad  •  Política de Cookies