—  UTILIDADES  —

Medición de la Dureza de los Materiales

Tablas y definiciones de la dureza de los materiales. Escalas de medición de dureza y equivalencia entre escalas.

—  Escalas de Medición de la Dureza de los Materiales  —

1.  >>  Dureza Brinell: definición y ensayo para su determinación

2.  >>  Tabla de valores de Dureza Brinell (HB) para ciertos materiales

3.  >>  Escala Mohs de dureza de los materiales

4.  >>  Tabla de Características Mecánicas, Dureza Rockwell y Dureza Brinell para los Aceros

5.  >>  Tabla de Características Mecánicas y Dureza Brinell para Aleaciones de Aluminio y de Aceros Inoxidables

6.  >>  Equivalencias entre las escalas de dureza Brinell, dureza Vickers, dureza Rockwell y la resistencia a tracción en psi.

7.  >>  Equivalencias entre las escalas de dureza Brinell, dureza Rockwell, dureza Vickers, Shore y resistencia a tracción en kg/mm2.


 


—  Dureza Brinell: definición y ensayo para su determinación  —

Dureza: En primer lugar, se define la dureza de un material como aquella propiedad de la capa superficial del material de poder resistir toda deformación elástica, plástica o destrucción debido a la acción de esfuerzos de contacto locales originados por otro cuerpo (llamado indentador o penetrador), más duro, de determinada forma y dimensiones, el cual no sufre deformaciones residuales durante el contacto.

Por tanto, en general, se entiende por dureza a la propiedad que tienen los materiales de resistir la penetración de un indentador sometido bajo carga, y en este sentido, la dureza se define como la resistencia de un material a la deformación plástica localizada en su superficie.

De la anterior definición de dureza se pueden deducir las siguientes conclusiones:

1)  la dureza, por definición, es una propiedad de la capa superficial del material, y no es una propiedad del material en sí;

2)  los métodos de dureza por indentación presuponen la presencia de esfuerzos de contacto, y por lo tanto, la dureza puede ser cuantificada dentro de una escala;

3)  en todo caso, el indentador o penetrador no debe sufrir deformaciones residuales durante el ensayo de medición de la dureza Brinell del cuerpo que se esté ensayando.

Ensayo de dureza

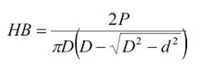
Definición de la Dureza Brinell: La norma ASTM E 10-78 define la dureza Brinell como un método de ensayo por indentación por el cual, con el uso de una máquina calibrada, se fuerza una bola fabricada de un acero extraduro, o bien, de carburo de tungsteno, de un diámetro "D", bajo condiciones específicas, aplicándole una fuerza "P" contra la superficie del material a ensayar durante un tiempo "t" dado, apareciendo entonces una huella con forma de casquete esférico de diámetro "d" sobre el material ensayado. El valor medido en el ensayo es este diámetro "d" del casquete en la superficie del material. La dureza Brinell (HB) viene definida entonces por la siguiente expresión:

 

P

 

HB =  


 

 

S

 


siendo "S" la superficie de la huella que queda sobre el material ensayado, que resulta ser un casquete esférico. La fuerza "P" se expresa en kp (kilopondios) y la superficie de la huella "S" en mm2.

A partir de la fórmula que proporciona el valor de la superficie geométrica de un casquete esférico, la dureza Brinell (HB) también puede expresarse de la siguiente manera:

Dureza Brinell

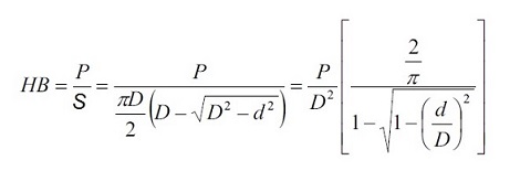
En la práctica se suele utilizar la siguiente formulación de trabajo, más simplificada:

Dureza Brinell

donde ya se sabe que:

" P "  es la carga a utilizar en el ensayo, medida en kp.

" D "  es el diámetro de la bola (indentador) medida en mm.

" d "  es el diámetro medio de la huella en superficie del material ensayado, en mm.

Para ensayos en materiales blandos (de baja dureza) y muestras delgadas, el indentador usado es una bola de acero templado extraduro, mientras que para ensayar materiales cuya dureza Brinell va a resultar superior a los 400 HB se recomienda utilizar penetradores más duros (de carburo de tungsteno).

El método estándar como tal, se realiza bajo las siguientes condiciones:

•  Diámetro de la bola (D): 10 mm

•  Carga aplicada sobre la bola indentadora (P): 3000 kp

•  Duración de la carga (t): 10 ... 15 s

En el caso de realizarse el ensayo bajo estas condiciones estándar, el número de dureza Brinell que resulte se denota sin ningún sufijo adicional. Ejemplo de denotación de la dureza Brinell:

220 HB

Esta notación indica una dureza Brinell de 220, para el caso de un material que ha sido ensayado bajo las condiciones estándar arriba ya mencionadas (10/3000/15).

Si por alguna razón no pueden aplicarse las condiciones estándar en el ensayo para calcular el valor de la dureza Brinell, es posible aplicar cargas menores y utilizar indentadores esféricos de diámetros menores (aunque estas mediciones que resulten no se consideran como estándar). De hecho, el criterio a seguir del valor de la carga "P" a aplicar sobre el indentador es el siguiente, según el valor de dureza que se espera obtener:

•  Carga P = 3000 kp para durezas de 160 a 600 HB

•  Carga P = 1500 kp para durezas de 80 a 300 HB

•  Carga P = 500 kp para durezas de 26 a 100 HB

En esta ocasión, la obtención de resultados comparables de los ensayos exige la observación del criterio de semejanza, que para el caso dado corresponde a la constante de la relación de la carga respecto al cuadrado del diámetro de la bola, es decir,

P  = const

D2

Se toma esta relación igual a 30, 10 y 2,5 según la naturaleza y dureza supuesta del material investigado.

En el caso de realizarse el ensayo bajo condiciones distintas a las estándar y atendiendo a la consideración anterior, la dureza Brinell se denota también como HB, pero con la adición de sufijos que indiquen el diámetro de la bola, la carga y el tiempo de aplicación de la misma. Ejemplo:

63 HB 10/500/30

Esta notación indica una dureza Brinell de 63 medida en un ensayo con una bola indentadora de 10 mm de diámetro y una carga de 500 kp aplicada durante 30 s.

Correlación del valor de dureza con la resistencia a la tracción: En algunos casos es posible correlacionar el valor de dureza del material con el valor de resistencia estática (σe) del material. Así, por ejemplo, para aceros ordinarios recocidos y con menos del 0,8% de contenido en carbono, se tiene la siguiente relación entre la dureza Brinell y su resistencia mecánica:

σe = 0,346 · HB  [kg/mm2]

Para aceros al cromo-níquel y algunas aleaciones de aluminio se adoptan valores entre 0,34 y 0,35·HB; para el caso de la fundición gris 0,1·HB.

Es importante notar que la estimación del valor de resistencia a la tracción a través de la ecuación anterior debe ser considerada como una primera aproximación y no debe ser tomado como un valor enteramente fiable si no se conoce de antemano y empíricamente que dicha relación se cumple para el material y las partes ensayadas. Cualquier irregularidad superficial, tal como endurecimiento localizado por deformación, tratamiento superficial, etc., puede causar una estimación errónea de la resistencia a la tracción.

En la siguiente tabla se muestra el número HB de dureza Brinell y del valor de la resistencia a tracción equivalente, que tiene carácter orientativo, en función del diámetro de la huella creada en el ensayo.

Relación entre la dureza Brinell y la resistencia a tracción


↑↑ Subir

 

 

 

 



Tabla de Dureza Brinell (HB) de Materiales

-

Tabla de Dureza Brinell (HB) de Materiales

Material

Dureza Brinell

Aluminio

20 HB

Cobre

35 HB

Acero (blando)

120 HB

Acero inoxidable

250 HB

Acero de herramientas

500 HB

Madera

entre 1 - 7 HB

Níquel

90 HB

Aleaciones de Níquel

entre 95 - 476 HB

Vidrio

482 HB

Magnesio, cinc, latón fundido

entre 11 - 158 HB

Metales antifricción

entre 6 - 78 HB

Plomo, estaño, soldadura blanda

entre 3 - 39 HB


Tabla de Dureza Brinell de Materiales


↑↑ Subir

 

 

 

 



Escala Mohs de dureza de los materiales

-

Escala Mohs de dureza de los materiales

Dureza Mohs

Material de Referencia

Dureza Rayado

Dureza Knoop

Observaciones

10

Diamante

140000

8000

La más dura

9

Corindón

1000

2000

Muy dura

8

Topacio

175

1500

Muy dura

7

Cuarzo

120

1200

Raya el vidrio

6

Ortoclasa/Feldespato

37

1000

Se raya con lima de acero

5

Apatito

6,5

850

Se raya con navaja

4

Fluorita

5

750

Se raya fácil con navaja

3

Calcita

4,5

500

Se raya con un cobre

2

Yeso

1,25

450

Se raya con la uña

1

Talco

0,03

300

Se raya fácil con la uña


Escala Mohs de dureza de los materiales


↑↑ Subir

 

 

 

 



-

Características Mecánicas, Dureza Rockwell y Dureza Brinell para distintos tipos de Acero

Dureza Rockwell y dureza Brinell del acero


↑↑ Subir

 

 

 

 



-

Características Mecánicas y Dureza Brinell para distintas Aleaciones de Aluminio y de Aceros Inoxidables

Carga de rotura, límite elástico, alargamiento y dureza de aleaciones de aluminio y acero inoxidable

(Haz click en la tabla para su descarga)



↑↑ Subir

 

 

 

 



-

Equivalencias entre las escalas de dureza Brinell, dureza Vickers, dureza Rockwell y la resistencia a tracción del material (en psi).

Equivalencias entre las escalas de dureza Brinell, dureza Vickers, dureza Rockwell y la resistencia a tracción de los materiales


↑↑ Subir

 

 

 

 



-

Equivalencias entre las escalas de dureza Brinell, dureza Rockwell, dureza Vickers, Shore y la resistencia a tracción del material (en kg/mm2).

Escalas de dureza Brinell, dureza Rockwell, dureza Vickers, Shore y la resistencia a tracción de los materiales


↑↑ Subir

 

 

 

 



 

 

Información y consulta:

Hermenegildo Rodríguez Galbarro

info@ingemecanica.com - Tel. 646 166 055

 

 

Aviso Legal  •  Política de Privacidad  •  Política de Cookies